This content has been machine translated dynamically.
Dieser Inhalt ist eine maschinelle Übersetzung, die dynamisch erstellt wurde. (Haftungsausschluss)
Cet article a été traduit automatiquement de manière dynamique. (Clause de non responsabilité)
Este artículo lo ha traducido una máquina de forma dinámica. (Aviso legal)
此内容已经过机器动态翻译。 放弃
このコンテンツは動的に機械翻訳されています。免責事項
이 콘텐츠는 동적으로 기계 번역되었습니다. 책임 부인
Este texto foi traduzido automaticamente. (Aviso legal)
Questo contenuto è stato tradotto dinamicamente con traduzione automatica.(Esclusione di responsabilità))
This article has been machine translated.
Dieser Artikel wurde maschinell übersetzt. (Haftungsausschluss)
Ce article a été traduit automatiquement. (Clause de non responsabilité)
Este artículo ha sido traducido automáticamente. (Aviso legal)
この記事は機械翻訳されています.免責事項
이 기사는 기계 번역되었습니다.책임 부인
Este artigo foi traduzido automaticamente.(Aviso legal)
这篇文章已经过机器翻译.放弃
Questo articolo è stato tradotto automaticamente.(Esclusione di responsabilità))
Translation failed!
Migrate or create profiles
You can take advantage of a Profile Management deployment to refresh your organization’s profiles, initially using a small, customized profile, and rigidly controlling additions to it. Alternatively, you might need to migrate existing profiles into the Profile Management environment and preserve the personalizations that have built up over many years.
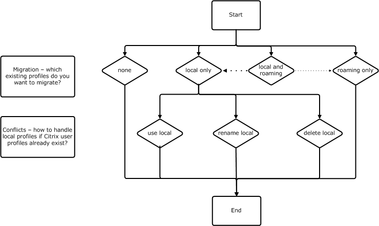
If you decide to migrate existing profiles, configure the Migration of existing profiles and the Local profile conflict handling policies.
The following diagram illustrates how to configure these policies based on your answer to this question.

Policy: Template profile
If you decide to create an entirely new set of profiles, consider creating a template for this purpose using the Template profile policy. For information, see Specify a template or mandatory profile. If you do not create a template, Profile Management gives users the default Windows profile. If no template is required, leave this policy disabled.
The Template profile policy is similar to the Path to user store policy. This policy specifies the location of a profile that can be used as the basis for creating a user profile when the user first logs on to a computer managed by Profile Management.
You can optionally use the template as a Citrix® mandatory profile for all logons. As part of your planning, you must perform tasks such as identifying the applications that users access. You must configure the registry states, shortcuts, and desktop settings in the profile accordingly. You must set permissions on profile folders and modify users’ logon scripts.
Note:
When selecting mandatory profiles in Citrix virtual desktops™ deployments, we recommend that you use Citrix Studio rather than the Profile Management .adm or .admx file.
Share
Share
In this article
This Preview product documentation is Citrix Confidential.
You agree to hold this documentation confidential pursuant to the terms of your Citrix Beta/Tech Preview Agreement.
The development, release and timing of any features or functionality described in the Preview documentation remains at our sole discretion and are subject to change without notice or consultation.
The documentation is for informational purposes only and is not a commitment, promise or legal obligation to deliver any material, code or functionality and should not be relied upon in making Citrix product purchase decisions.
If you do not agree, select I DO NOT AGREE to exit.